RPACT Cloud Part 2

Friedrich Pahlke

November 3, 2025

RPACT Cloud – Part 2

Advanced features of the GUI (Reporting, Export, Plotting, Comparison)

RPACT Cloud – Reporting

RPACT Cloud – Export

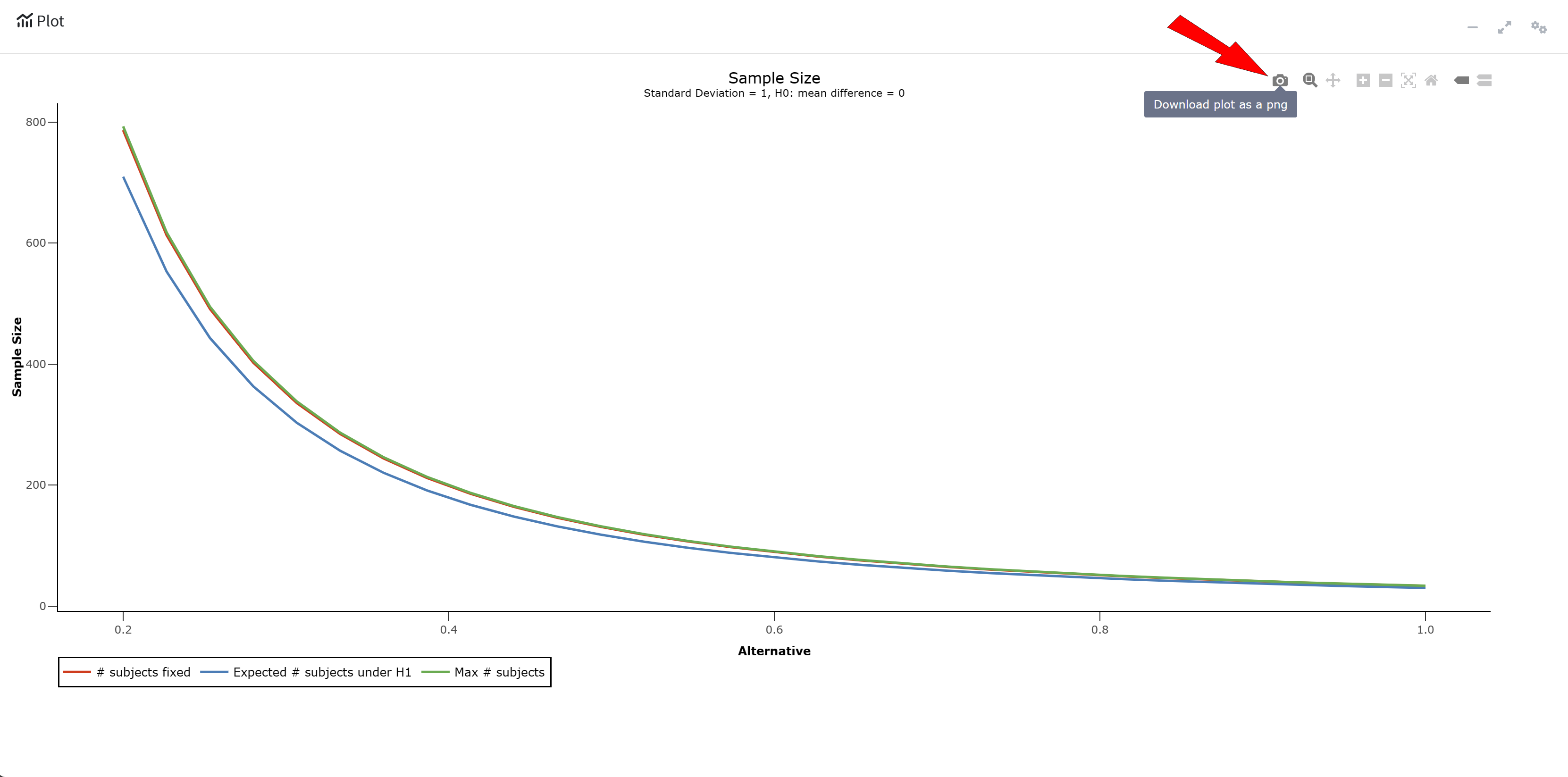
RPACT Cloud – Plotting

RPACT Cloud – Output Table

RPACT Cloud – Design Comparison

End of RPACT Cloud Part 2